Постановление Правительства Приморского края от 12.03.2026 N 199-пп "Об утверждении Порядка предоставления субсидий юридическим лицам на финансовое обеспечение затрат, связанных с созданием и (или) развитием индустриальных (промышленных) парков, агропромышленных парков, бизнес-парков, технопарков, промышленных технопарков на территории Приморского края"
ПРАВИТЕЛЬСТВО ПРИМОРСКОГО КРАЯ
ПОСТАНОВЛЕНИЕ
12.03.2026 г. Владивосток N 199-пп
Об утверждении Порядка предоставления субсидий юридическим лицам на финансовое обеспечение затрат, связанных с созданием и (или) развитием индустриальных (промышленных) парков, агропромышленных парков, бизнес-парков, технопарков, промышленных технопарков на территории Приморского края
В соответствии со статьей 78 Бюджетного кодекса Российской Федерации, постановлениями Правительства Российской Федерации от 25 октября 2023 N 1782 «Об утверждении общих требований к нормативным правовым актам, муниципальным правовым актам, регулирующим предоставление из бюджетов субъектов Российской Федерации, местных бюджетов субсидий, в том числе грантов в форме субсидий, юридическим лицам, индивидуальным предпринимателям, физическим лицам и проведение отборов получателей указанных субсидий, в том числе грантов в форме субсидий», от 15 апреля 2014 года N 316 «Об утверждении государственной программы Российской Федерации «Экономическое развитие и инновационная экономика», на основании Устава Приморского края Правительство Приморского края
постановляет:
1. Утвердить прилагаемый Порядок предоставления субсидий юридическим лицам на финансовое обеспечение затрат, связанных с созданием и (или) развитием индустриальных (промышленных) парков, агропромышленных парков, бизнес-парков, технопарков, промышленных технопарков на территории Приморского края.
2. Департаменту информационной политики Приморского края обеспечить официальное опубликование настоящего постановления.
Первый вице-губернатор Приморского края –
Председатель Правительства Приморского края В.Г. Щербина
УТВЕРЖДЕН
постановлением
Правительства Приморского края
от 12.03.2026 N 199-пп
Порядок
предоставления субсидий юридическим лицам на финансовое обеспечение затрат, связанных с созданием и (или) развитием индустриальных промышленных) парков, агропромышленных парков, бизнес-парков, технопарков, промышленных технопарков на территории Приморского края
I. Общие положения
1.1. Настоящий Порядок устанавливает цель, порядок и условия предоставления субсидий из краевого бюджета, в том числе источником финансового обеспечения которых являются субсидии из федерального бюджета, юридическим лицам на финансовое обеспечение затрат, связанных с созданием и (или) развитием индустриальных (промышленных) парков, агропромышленных парков, бизнес-парков, технопарков, промышленных технопарков на территории Приморского края (далее соответственно - субсидии, парк), критерии отбора юридических лиц, имеющих право на получение субсидий, а также порядок возврата субсидий в краевой бюджет в случае нарушения условий, установленных при их предоставлении.
Министерство экономического развития Приморского края (далее – министерство) является главным распорядителем средств краевого бюджета, осуществляющим предоставление субсидии в соответствии со сводной бюджетной росписью, кассовым планом исполнения краевого бюджета в пределах лимитов бюджетных обязательств, доведенных министерству в установленном порядке на цели, указанные в пункте 1.2 настоящего Порядка, в соответствии с законом Приморского края о краевом бюджете на соответствующий финансовый год и плановый период в рамках реализации регионального проекта «Малое и среднее предпринимательство и поддержка индивидуальной предпринимательской инициативы» в составе государственной программы Приморского края «Экономическое развитие и инновационная экономика Приморского края», утвержденной постановлением Администрации Приморского края от 19 декабря 2019 года N 860-па «Об утверждении государственной программы Приморского края «Экономическое развитие и инновационная экономика Приморского края».
Информация о субсидии, в том числе предусмотренной законом о бюджете (о внесении изменений в закон о бюджете), размещается на едином портале бюджетной системы Российской Федерации в информационно-телекоммуникационной сети Интернет (в разделе единого портала) в порядке, установленном Министерством финансов Российской Федерации, в течение 10 рабочих дней со дня, следующего за днем доведения бюджетных ассигнований на предоставление субсидий до министерства.
1.2. Субсидии предоставляются в целях обеспечения льготного доступа субъектов малого и среднего предпринимательства к производственным площадям и помещениям парков на финансовое обеспечение затрат, связанных с созданием и (или) развитием парков, по направлениям, определенным пунктом 4 Требований для реализации субъектами Российской Федерации мероприятий региональных проектов, обеспечивающих достижение целей, показателей и результатов федерального проекта «Малое и среднее предпринимательство и поддержка индивидуальной предпринимательской инициативы», входящего в состав национального проекта «Эффективная и конкурентная экономика», предусматривающих основные направления расходов при реализации мероприятий, ключевые показатели эффективности реализации мероприятий, в том числе требований к организациям, образующим инфраструктуру поддержки субъектов малого и среднего предпринимательства, требований к государственным (муниципальным) микрофинансовым организациям и к их деятельности, утвержденных приказом Министерства экономического развития Российской Федерации от 27 марта 2025 года N 195 (далее – Приказ N 195).
Срок реализации проектов по созданию и (или) развитию парков за счет средств субсидии составляет до трех лет в соответствии с пунктом 12 Правил предоставления и распределения субсидий из федерального бюджета бюджетам субъектов Российской Федерации на государственную поддержку малого и среднего предпринимательства в субъектах Российской Федерации, приведенных в приложении N 48 к государственной программе Российской Федерации «Экономическое развитие и инновационная экономика», утвержденной постановлением Правительства Российской Федерации от 15 апреля 2014 года N 316 «Об утверждении государственной программы Российской Федерации «Экономическое развитие и инновационная экономика» (далее соответственно - Проект, Правила отбора субъектов Российской Федерации).
1.3. Субсидии предоставляются юридическим лицам - управляющим компаниям парков, зарегистрированным и осуществляющим свою деятельность на территории Приморского края (далее - управляющие компании), соответствующим следующим критериям:
Проекты управляющих компаний прошли отбор в соответствии с Порядком отбора проектов по созданию и (или) развитию индустриального (промышленного) парка, агропромышленного парка, бизнес-парка, технопарка или промышленного технопарка в Приморском крае, утвержденным постановлением Правительства Приморского края от 09 апреля 2025 года N 317-пп «Об отборе проектов по созданию и (или) развитию индустриального (промышленного) парка, агропромышленного парка, бизнес-парка, технопарка или промышленного технопарка в Приморском крае», а также в соответствии с Правилами отбора субъектов Российской Федерации;
в состав учредителей (участников), и (или) акционеров, и (или) держателей долей управляющих компаний не входят Российская Федерация, субъект Российской Федерации и (или) муниципальное образование;
управляющая компания включена в Единый государственный реестр юридических лиц.
1.4. Субсидии предоставляются управляющим компаниям при условиях:
наличие обязательства управляющей компании о финансировании Проекта за счет собственных средств в размере не менее 30 процентов от общей стоимости Проекта;
наличие обязательства управляющей компании о вводе в эксплуатацию парка в соответствии со сроком, установленным графиком выполнения мероприятия (Проекта) по созданию и (или) развитию парка;
наличие обязательства управляющей компании обеспечивать функционирование парка в течение не менее 10 лет с даты ввода парка в эксплуатацию;
наличие обязательства управляющей компании осуществить возврат субсидии в полном объеме в случае отклонения от графика выполнения мероприятия (Проекта) по созданию и (или) развитию парка более чем на 40 процентов по состоянию на 1 октября года предоставления субсидии или по состоянию на 1 июля года, следующего за годом предоставления субсидии;
согласие управляющей компании на осуществление министерством проверки порядка и условий предоставления субсидии, в том числе в части достижения значений результатов предоставления субсидии, а также проверки органами государственного финансового контроля в соответствии со статьями 268.1 и 269.2 Бюджетного кодекса Российской Федерации;
соблюдение управляющей компанией запрета на приобретение за счет средств субсидии иностранной валюты, за исключением операций, осуществляемых в соответствии с валютным законодательством Российской Федерации при закупке (поставке) высокотехнологичного импортного оборудования, сырья и комплектующих изделий;
включение в договоры (соглашения), заключаемые управляющей компанией в целях исполнения обязательств по настоящему Порядку, согласия лиц, являющихся поставщиками (подрядчиками, исполнителями) по договорам (соглашениям) (за исключением государственных (муниципальных) унитарных предприятий, хозяйственных товариществ и обществ с участием публично-правовых образований в их уставных (складочных) капиталах, а также коммерческих организаций с участием таких товариществ и обществ в их уставных (складочных) капиталах), на осуществление министерством проверок соблюдения ими порядка и условий предоставления субсидии, в том числе в части достижения результатов предоставления субсидии, проверок органами государственного финансового контроля в соответствии со статьями 268.1 и 269.2 Бюджетного кодекса Российской Федерации (далее - Бюджетный кодекс), а также о соблюдении юридическими лицами - поставщиками (подрядчиками, исполнителями) по договорам (соглашениям) запрета на приобретение за счет средств субсидии иностранной валюты, за исключением операций, осуществляемых в соответствии с валютным законодательством Российской Федерации при закупке (поставке) высокотехнологичного импортного оборудования, сырья и комплектующих изделий.
1.5. Требования, которым должны соответствовать управляющие компании на дату не ранее чем за 30 календарных дней до даты подачи документов, предусмотренных пунктом 2.7 настоящего Порядка, а также на даты рассмотрения заявки и заключения соглашения о предоставления субсидии;
у управляющей компании отсутствует просроченная задолженность по возврату в краевой бюджет иных субсидий, бюджетных инвестиций, а также иная просроченная (неурегулированная) задолженность по денежным обязательствам перед Приморским краем;
управляющая компания не находится в процессе реорганизации, ликвидации, в отношении нее не введена процедура банкротства, деятельность управляющей компании не приостановлена в порядке, предусмотренном законодательством Российской Федерации;
управляющая компания не получает средства из краевого бюджета в соответствии с иными нормативными правовыми актами на цели, указанные в пункте 1.2 настоящего Порядка;
управляющая компания не является иностранным юридическим лицом, в том числе местом регистрации которого является государство или территория, включенные в утвержденный Министерством финансов Российской Федерации перечень государств и территорий, используемых для промежуточного (офшорного) владения активами в Российской Федерации (далее - офшорные компании), а также российским юридическим лицом, в уставном (складочном) капитале которого доля прямого или косвенного (через третьих лиц) участия офшорных компаний в совокупности превышает 25 процентов (если иное не предусмотрено законодательством Российской Федерации). При расчете доли участия офшорных компаний в капитале российских юридических лиц не учитывается прямое и (или) косвенное участие офшорных компаний в капитале публичных акционерных обществ (в том числе со статусом международной компании), акции которых обращаются на организованных торгах в Российской Федерации, а также косвенное участие офшорных компаний в капитале других российских юридических лиц, реализованное через участие в капитале указанных публичных акционерных обществ;
управляющая компания не находится в перечне организаций и физических лиц, в отношении которых имеются сведения об их причастности к экстремистской деятельности или терроризму;
управляющая компания не находится в составляемых в рамках реализации полномочий, предусмотренных главой VII Устава ООН, Советом Безопасности ООН или органами, специально созданными решениями Совета Безопасности ООН, перечнях организаций и физических лиц, связанных с террористическими организациями и террористами или с распространением оружия массового уничтожения;
управляющая компания не является иностранным агентом в соответствии с Федеральным законом от 14 июля 2022 года N 255-ФЗ «О контроле за деятельностью лиц, находящихся под иностранным влиянием»;
у управляющей компании на едином налоговом счете отсутствует или не превышает размер, определенный пунктом 3 статьи 47 Налогового кодекса Российской Федерации, задолженность по уплате налогов, сборов и страховых взносов в бюджеты бюджетной системы Российской Федерации.
Проверка управляющей компании на соответствие требованиям, определенным настоящим пунктом, осуществляется автоматически в государственной интегрированной информационной системе управления общественными финансами «Электронный бюджет» (далее - система «Электронный бюджет») на основании данных государственных информационных систем, в том числе с использованием единой системы межведомственного электронного взаимодействия (при наличии технической возможности).
Подтверждение соответствия управляющей компании требованиям, определенным настоящим пунктом, на дату подачи заявки в случае отсутствия технической возможности осуществления автоматической проверки в системе «Электронный бюджет» производится путем проставления в электронном виде участником отбора отметок о соответствии указанным требованиям посредством заполнения соответствующих экранных форм веб-интерфейса системы «Электронный бюджет».
1.6. Субсидии подлежат казначейскому сопровождению Управлением Федерального казначейства по Приморскому краю.
При казначейском сопровождении операции по зачислению и списанию указанных средств осуществляются на счетах, открытых Управлению Федерального казначейства по Приморскому краю в учреждениях Центрального банка Российской Федерации, и отражаются на лицевых счетах, открытых в установленном Федеральным казначейством порядке в Управлении Федерального казначейства по Приморскому краю управляющим компаниям.
II. Порядок проведения отбора управляющих компаний в целях получения субсидиЙ
2.1. В целях предоставления субсидии министерство проводит отбор управляющих компаний в форме запроса предложений (далее - отбор) на основании заявок, направленных ими для участия в отборе (далее - заявки), исходя из соответствия управляющих компаний критериям, условиям, требованиям, установленным пунктами 1.3, 1.4, 1.5 настоящего Порядка, а также очередности поступления заявок.
Отбор осуществляется в системе «Электронный бюджет» посредством Портала предоставления мер финансовой государственной поддержки (https://promote.budget.gov.ru/) в сети Интернет.
Взаимодействие министерства с участниками отбора осуществляется в системе «Электронный бюджет» с использованием документов в электронной форме.
Обеспечение доступа к системе «Электронный бюджет» осуществляется с использованием федеральной государственной информационной системы «Единая система идентификации и аутентификации в инфраструктуре, обеспечивающей информационно-технологическое взаимодействие информационных систем, используемых для предоставления государственных и муниципальных услуг в электронной форме».
2.2. Объявление о проведении отбора (далее - объявление) размещается на едином портале, а также на странице министерства на официальном сайте Правительства Приморского края и органов исполнительной власти Приморского края в информационно – телекоммуникационной сети Интернет (далее - официальный сайт) в срок не позднее чем за пять календарных дней до начала приема заявок. Объявление подписывается усиленной квалифицированной электронной подписью министра экономического развития Приморского края (уполномоченного им лица).
2.3. Объявление должно содержать следующую информацию:
дату размещения объявления, срок проведения отбора, дату начала подачи и окончания приема заявок, при этом дата окончания приема заявок не может быть ранее 10-го календарного дня, следующего за днем размещения объявления;
наименование, место нахождения, почтовый адрес, адрес электронной почты министерства;
цель предоставления субсидии в соответствии с пунктом 1.2 настоящего Порядка, а также результаты предоставления субсидии в соответствии с пунктом 3.10 настоящего Порядка;
доменное имя и (или) указатели ссылки на страницу системы «Электронный бюджет», а также официального сайта;
критерии, условия, требования к управляющим компаниям, установленные пунктами 1.3, 1.4, 1.5 настоящего Порядка, и перечень документов, представляемых управляющими компаниями в министерство для подтверждения их соответствия указанным критериям, условиям, требованиям;
порядок подачи заявок и требования, предъявляемые к форме и содержанию заявок в соответствии с пунктами 2.6, 2.7 настоящего Порядка;
порядок отзыва заявок, порядок внесения изменений в заявки;
порядок отклонения заявок, основания отклонения заявок;
порядок возврата заявок на доработку;
правила рассмотрения заявок;
объем распределяемой субсидии в рамках отбора, порядок расчета размера субсидии, правила распределения субсидии по результатам отбора, которые включают максимальный размер субсидии, предоставляемой победителю (победителям) отбора;
порядок предоставления управляющим компаниям разъяснений положений объявления, даты начала и окончания срока такого предоставления;
срок, в течение которого управляющие компании должны подписать соглашения о предоставлении субсидии;
условия признания управляющей компании уклонившейся от заключения соглашения о предоставлении субсидии;
сроки размещения протокола подведения итогов отбора на едином портале и официальном сайте;
контактные данные (Ф.И.О. (последнее - при наличии), номер телефона, адрес электронной почты) сотрудника министерства, ответственного за прием заявок.
Изменения в объявление вносятся с соблюдением требований, предусмотренных подпунктом «а(1)» пункта 25 общих требований к нормативным правовым актам, муниципальным правовым актам, регулирующим предоставление из бюджетов субъектов Российской Федерации, местных бюджетов субсидий, в том числе грантов в форме субсидий, юридическим лицам, индивидуальным предпринимателям, физическим лицам и проведение отборов получателей указанных субсидий, в том числе грантов в форме субсидий, утвержденных постановлением Правительства Российской Федерации от 25 октября 2023 года N 1782 «Об утверждении общих требований к нормативным правовым актам, муниципальным правовым актам, регулирующим предоставление из бюджетов субъектов Российской Федерации, местных бюджетов субсидий, в том числе грантов в форме субсидий, юридическим лицам, индивидуальным предпринимателям, физическим лицам и проведение отборов получателей указанных субсидий, в том числе грантов в форме субсидий» (далее - Общие требования).
2.4. Министерство предоставляет управляющим компаниям разъяснения положений объявления (далее - разъяснение) с даты его размещения до даты окончания приема заявок, указанной в объявлении. Министерство в ответ на запрос управляющих компаний в день получения министерством указанного запроса предоставляет разъяснение путем его направления управляющим компаниям в той же форме, в которой был подан соответствующий запрос.
2.5. Министерство в случае внесения изменений в закон Приморского края о краевом бюджете на соответствующий финансовый год в части исключения предоставления субсидии в течение пяти рабочих дней со дня вступления указанного закона в силу отменяет проведение отбора.
Объявление об отмене проведения отбора размещается тем же способом, каким размещается объявление о проведении отбора.
Отбор считается отмененным с момента размещения объявления о его отмене.
2.6. Для участия в отборе на получение субсидии в срок, указанный в объявлении, управляющие компании направляют в министерство посредством системы «Электронный бюджет» заявку, оформленную в соответствии с пунктом 2.7 настоящего Порядка, а также следующие документы (документы на бумажном носителе, преобразованные в электронную форму путем сканирования):
а) выписка из Единого государственного реестра юридических лиц;
б) справка налогового органа, подтверждающая соответствие управляющей компании требованию, предусмотренному абзацем девятым пункта 1.5 настоящего Порядка;
в) выписка из реестра дисквалифицированных лиц либо справка об отсутствии запрашиваемой информации, выданные в соответствии с приказом Федеральной налоговой службы от 10 декабря 2019 года N ММВ-7-14/627@ «Об утверждении Административного регламента по предоставлению Федеральной налоговой службой государственной услуги по предоставлению заинтересованным лицам сведений, содержащихся в реестре дисквалифицированных лиц»;
г) подписанное руководителем (иным уполномоченным лицом) управляющей компании гарантийное обязательство, подтверждающее соответствие управляющей компании критериям, условиям и требованиям, установленным пунктами 1.3, 1.4, 1.5 настоящего Порядка;
д) документы об утверждении проектно-сметной документации, разработанные в соответствии с федеральным законодательством;
е) копия положительного заключения государственной экспертизы проектной документации, проведенной в объеме проверки достоверности определения сметной стоимости строительства, реконструкции, и результатов инженерных изысканий, выполненных для подготовки такой проектной документации;
ж) график выполнения мероприятия (Проекта) по созданию и (или) развитию парка.
Документы, предусмотренные подпунктами «а» - «в» настоящего пункта, управляющая компания вправе представить по собственной инициативе. В случае непредставления управляющей компанией документов, указанных в настоящем абзаце, по собственной инициативе министерство в течение трех рабочих дней со дня окончания срока приема заявок запрашивает соответствующую информацию в порядке межведомственного информационного взаимодействия.
Наличие в прилагаемых к заявке документах опечаток, подчисток, приписок, зачеркнутых слов и иных не оговоренных в них исправлений, а также повреждений, не позволяющих однозначно истолковывать их содержание, не допускается.
2.7. Заявка формируется управляющей организацией в электронной форме посредством заполнения соответствующих экранных форм веб-интерфейса системы «Электронный бюджет».
Заявка подписывается усиленной квалифицированной электронной подписью руководителя управляющей компании или уполномоченного им лица.
Датой и временем представления управляющей компанией заявки считается день и время подписания управляющей компанией заявки с присвоением ей регистрационного номера в системе «Электронный бюджет».
Прием заявок и прилагаемых к ним документов осуществляется министерством в течение срока, указанного в объявлении.
2.8. Заявка может быть отозвана до окончания срока приема заявки путем направления управляющей компанией соответствующего обращения в министерство посредством системы «Электронный бюджет».
Управляющая компания вправе до окончания срока приема заявки внести изменения в поданную заявку. Внесение изменений в заявку осуществляется путем подачи новой заявки, сформированной в соответствии с настоящим Порядком, при этом ранее поданная заявка считается отозванной.
2.9. Министерство:
не позднее одного рабочего дня, следующего за днем окончания срока подачи заявок, указанного в объявлении, получает доступ в систему «Электронный бюджет» к заявкам для их рассмотрения, обеспечивает автоматическое формирование протокола вскрытия заявок на едином портале и подписание его усиленной квалифицированной электронной подписью министра экономического развития Приморского края или уполномоченного им лица в системе «Электронный бюджет», а также размещение указанного протокола на едином портале не позднее одного рабочего дня, следующего за днем его подписания;
в течение пяти рабочих дней со дня окончания срока подачи заявок, указанного в объявлении, в случае непредставления (представления не в полном объеме) документов, указанных в пункте 2.6 настоящего Порядка (за исключением документов, указанных в подпунктах «а» - «в» пункта 2.6 настоящего Порядка), осуществляет однократно возврат заявки управляющей компании на доработку посредством направления в системе «Электронный бюджет» уведомления о возврате заявки на доработку с указанием выявленных недостатков. Управляющая компания, в отношении которой принято решение о направлении заявки на доработку, имеет право устранить недостатки, указанные в уведомлении, и представить заявку и прилагаемые к ней документы в системе «Электронный бюджет» повторно в течение двух рабочих дней со дня доставки уведомления в личном кабинете в системе «Электронный бюджет»;
в течение 10 рабочих дней со дня окончания срока подачи заявок, указанного в объявлении, проверяет управляющие компании на соответствие критериям, условиям, требованиям, установленным пунктами 1.3, 1.4, 1.5 настоящего Порядка, проверяет заявки и прилагаемые к ним документы на предмет их соответствия перечню документов и требованиям к составлению заявок и документов, предусмотренным соответственно пунктами 2.6, 2.7 настоящего Порядка, осуществляет проверку правильности расчета субсидии;
принимает решение о признании управляющей компании получателем субсидии и предоставлении субсидии (при отсутствии оснований для отклонения заявки, предусмотренных пунктом 2.11 настоящего Порядка) или об отклонении заявки и отказе в предоставлении субсидии с указанием причины отклонения (при наличии оснований для отклонения заявки, предусмотренных пунктом 2.11 настоящего Порядка);
обеспечивает автоматическое формирование протокола подведения итогов отбора на едином портале на основании результатов определения управляющей компании получателем субсидии и подписание его усиленной квалифицированной электронной подписью министра экономического развития Приморского края или уполномоченного им лица в системе «Электронный бюджет», а также размещение указанного протокола на едином портале не позднее одного рабочего дня, следующего за днем его подписания.
2.10. Протокол подведения итогов отбора содержит следующие сведения:
дата, время и место проведения рассмотрения заявок;
информация об управляющих компаниях, заявки которых были рассмотрены;
информация об управляющих компаниях, заявки которых были отклонены, с указанием причин их отклонения (при наличии оснований для отклонения заявки, предусмотренных пунктом 2.11 настоящего Порядка);
наименование управляющих компаний, с которыми заключаются соглашения, и размеры предоставляемых им субсидий (при отсутствии оснований для отклонения заявки, предусмотренных пунктом 2.11 настоящего Порядка).
2.11. Основаниями для отклонения заявки являются:
несоответствие управляющей компании критериям, условиям, требованиям, установленным пунктами 1.3, 1.4, 1.5 настоящего Порядка;
непредставление (представление не в полном объеме) документов, указанных в пункте 2.6 настоящего Порядка (за исключением документов, указанных в подпунктах «а» - «в» пункта 2.6 настоящего Порядка);
подача заявки и документов по истечении срока подачи заявки, указанного в объявлении (за исключением возврата заявок на доработку);
несоответствие заявки и (или) прилагаемых к ней документов требованиям, предусмотренным пунктами 2.6, 2.7 настоящего Порядка;
представление предусмотренных пунктом 2.6 настоящего Порядка документов, оформленных с нарушением требований законодательства Российской Федерации;
установление факта недостоверности представленной информации, в том числе информации о месте нахождения и адресе юридического лица - управляющей компании, о подтверждении соответствия управляющей компании установленным настоящим Порядком требованиям;
неустранение нарушений, указанных в уведомлении о возврате заявки на доработку, в срок, указанный в абзаце третьем пункта 2.9 настоящего Порядка.
III. Порядок предоставления субсидий
3.1. Размер
субсидии определяется с учетом заявленной потребности, лимитов бюджетных
обязательств на выплату субсидий, доведенных до министерства, и не может
превышать 70 процентов от общей стоимости Проекта.
Доля внебюджетного (частного) финансирования Проекта не может быть менее 30 процентов от общей стоимости Проекта.
Расчет размера субсидий производится министерством.
3.2. Предоставление субсидии осуществляется на основании соглашения о предоставлении субсидии, заключенного между управляющей компанией и министерством в системе «Электронный бюджет» в соответствии с типовой формой, установленной Министерством финансов Российской Федерации (далее - соглашение).
3.3. Соглашение в обязательном порядке предусматривает следующие положения:
а) объем и целевое назначение субсидии;
б) график выполнения мероприятия (Проекта) по созданию и (или) развитию парка;
в) результаты предоставления субсидии с указанием точных дат их достижения и конечного значения результатов предоставления субсидии, определенные пунктом 3.10 настоящего Порядка;
г) права и обязанности сторон, в том числе обязательство управляющей компании по представлению отчетов в соответствии с пунктом 4.1 настоящего Порядка, формы отчетов;
д) согласие управляющей компании на осуществление министерством в отношении нее проверки соблюдения порядка и условий предоставления субсидии, в том числе в части достижения результата предоставления субсидии, проверки органами государственного финансового контроля в соответствии со статьями 268.1 и 269.2 Бюджетного кодекса Российской Федерации, а также на соблюдение запрета приобретения за счет субсидии иностранной валюты, за исключением операций, осуществляемых в соответствии с валютным законодательством Российской Федерации при закупке (поставке) высокотехнологичного импортного оборудования, сырья и комплектующих изделий;
е) обязательство управляющей компании включать в договоры (соглашения), заключенные в целях исполнения обязательств по настоящему Порядку, согласие лиц, являющихся поставщиками (подрядчиками, исполнителями), на осуществление министерством проверки соблюдения порядка и условий предоставления субсидии, в том числе в части достижения результатов предоставления субсидии, проверки органами государственного финансового контроля в соответствии со статьями 268.1 и 269.2 Бюджетного кодекса Российской Федерации, а также на соблюдение запрета на приобретение за счет субсидии иностранной валюты, за исключением операций, осуществляемых в соответствии с валютным законодательством Российской Федерации при закупке (поставке) высокотехнологичного импортного оборудования и комплектующих изделий;
ж) условие об ограничении и (или) запрете приобретения управляющей компанией товаров (в том числе поставляемых при выполнении работ, оказании услуг), происходящих из иностранных государств, работ, услуг, соответственно выполняемых, оказываемых иностранными гражданами, иностранными юридическими лицами. Порядок определения указанных условий устанавливается Правительством Российской Федерации;
з) условие об осуществлении Федеральным казначейством в соответствии с бюджетным законодательством Российской Федерации казначейского сопровождения средств, источником финансового обеспечения которых являются субсидии, а также положения, установленные пунктом 2 статьи 242.23 Бюджетного кодекса Российской Федерации;
и) обязательства управляющей компании:
по обеспечению финансирования Проекта за счет собственных средств в размере не менее 30 процентов от общей стоимости Проекта;
по обеспечению ввода в эксплуатацию парка в соответствии со сроком, установленным графиком выполнения мероприятия (Проекта) по созданию и (или) развитию парка;
по обеспечению функционирования парка в течение не менее 10 лет с даты ввода его в эксплуатацию;
по обеспечению соответствия парка и управляющей компании требованиям пункта 4 Приказа N 195;
по информированию министерства в течение одного месяца об изменении параметров реализации Проекта, в том числе о смене управляющей компании, в период действия принятого Министерством промышленности и торговли Российской Федерации решения о соответствии промышленного парка и управляющей компании требованиям, утвержденным постановлением Правительства Российской Федерации от 04 августа 2015 года N 794 «Об индустриальных (промышленных) парках и управляющих компаниях индустриальных (промышленных) парков», или постановлением Правительства Российской Федерации от 27 декабря 2019 года N 1863 «О промышленных технопарках и управляющих компаниях промышленных технопарков» в зависимости от вида парка;
по соблюдению графика выполнения мероприятия (Проекта) по созданию и (или) развитию парка;
по предоставлению в министерство информации о значениях результатов предоставления субсидии по форме, установленной соглашением, в соответствии с пунктом 4.1 настоящего Порядка в течение 10 лет начиная с года, следующего за годом ввода парка в эксплуатацию;
по обеспечению возврата субсидии в полном объеме в случае отклонения от графика выполнения мероприятия (Проекта) по созданию и (или) развитию парка более чем на 40 процентов по состоянию на 1 октября года предоставления субсидии или по состоянию на 1 июля года, следующего за годом предоставления субсидии;
по ведению раздельного учета средств субсидии при казначейском сопровождении в соответствии с законодательством о бухгалтерском учете.
3.4. При необходимости внесения изменений в соглашение или его расторжения между министерством и управляющей компанией заключается дополнительное соглашение к соглашению, соответствующее типовой форме, утвержденной Министерством финансов Российской Федерации.
3.5. При реорганизации управляющей компании в форме слияния, присоединения или преобразования в соглашение вносятся изменения путем заключения дополнительного соглашения к соглашению в части перемены лица в обязательстве с указанием в соглашении юридического лица, являющегося правопреемником.
3.6. При реорганизации управляющей компании в форме разделения, выделения, а также при ликвидации управляющей компании соглашение расторгается с формированием уведомления о расторжении соглашения в одностороннем порядке и акта об исполнении обязательств по соглашению с отражением информации о не исполненных управляющей компанией обязательствах, источником финансового обеспечения которых является субсидия, и возврате неиспользованного остатка субсидии в краевой бюджет.
3.7. В случаях, определенных пунктами 3.5 и 3.6 настоящего Порядка, управляющая компания обязана направить соответствующее письменное уведомление в министерство в течение 10 рабочих дней со дня наступления обстоятельств, указанных в данных пунктах.
3.8. Одновременно с заключением соглашения и в целях проведения мониторинга достижения результатов предоставления субсидии министерство формирует и утверждает план мероприятий по достижению результатов предоставления субсидии (далее - План мероприятий), в котором отражаются контрольные точки по каждому результату предоставления субсидии, плановые значения результатов предоставления субсидии с указанием контрольных точек и плановых сроков их достижения. План мероприятий формируется на текущий финансовый год с указанием не менее одной контрольной точки в квартал.
Внесение изменений в утвержденный План мероприятий осуществляется путем утверждения Плана мероприятий в новой редакции одновременно с заключением дополнительного соглашения к соглашению.
3.9. Перечисление субсидий осуществляется в соответствии с соглашением с лицевого счета министерства, открытого в Управлении Федерального казначейства по Приморскому краю, на лицевые счета управляющих компаний, открытые в Управлении Федерального казначейства по Приморскому краю для казначейского сопровождения целевых средств, в течение трех рабочих дней со дня поступления средств на лицевой счет министерства в соответствии с протоколом подведения итогов отбора, сформированным в соответствии с пунктом 2.10 настоящего Порядка.
3.10. Результатами предоставления субсидии являются:
количество резидентов - субъектов малого и среднего предпринимательства, обеспеченных льготным доступом к производственным площадям и помещениям парков в целях создания (развития) производственных и инновационных компаний;
объем внебюджетных инвестиций резидентов - субъектов малого и среднего предпринимательства, получивших доступ к производственным площадям и помещениям парков, и управляющей компании.
Значения результатов предоставления субсидии устанавливаются соглашением.
3.11. Управляющие компании в течение 10 лет начиная с года, следующего за годом ввода парка в эксплуатацию, отчитываются перед министерством о значениях результатов предоставления субсидии по форме, установленной соглашением.
IV. Требования к представлению отчетности
4.1. Управляющие компании ежеквартально, по состоянию на 1 число месяца, следующего за отчетным периодом, в срок не позднее 10-го рабочего дня, следующего за отчетным периодом, по формам, установленным соглашением, в системе «Электронный бюджет» представляют:
1) отчет о достижении значений результатов предоставления субсидии, предусмотренных пунктом 3.10 настоящего Порядка, в течение 10 лет начиная с года, следующего за годом ввода парка в эксплуатацию;
2) отчет об осуществлении расходов, источником финансового обеспечения которых является субсидия, в течение срока реализации Проекта до ввода парка в эксплуатацию;
3) отчет об осуществлении расходов, источником финансового обеспечения которых являются собственные средства управляющей компании, в течение срока реализации Проекта до ввода парка в эксплуатацию;
4) отчет о реализации Плана мероприятий, в котором ежеквартально по состоянию на 1 число месяца, следующего за отчетным периодом, а также не позднее десятого рабочего дня после достижения конечного значения результата предоставления субсидии отражаются значения результатов предоставления субсидии и контрольные точки. Отчет формируется с указанием значений результатов предоставления субсидии, достигнутых на отчетную дату с начала текущего финансового года, и контрольных точек, достигнутых в отчетном периоде, в указанный в соглашении срок для представления отчетности о достижении значений результатов;
5) отчет об исполнении графика выполнения мероприятия (Проекта) по созданию и (или) развитию парка.
4.2. К отчетам прилагаются следующие документы:
а) копии документов, подтверждающих затраты, указанные в пункте 1.2 настоящего Порядка (акты сдачи-приемки работ, товарно-транспортные накладные, счета-фактуры, договоры (соглашения), заключенные в целях исполнения обязательств по соглашению);
б) копии справок о стоимости выполненных работ и затрат на создание и (или) развитие парка по форме КС-3;
в) копии актов о приемке выполненных работ и затрат на создание и (или) развитие парка по форме КС-2;
г) заключения органа государственного строительного надзора о соответствии объектов созданного парка требованиям технических регламентов и проектной документации, в том числе требованиям энергетической эффективности и требованиям оснащенности объектов созданного парка приборами учета используемых энергетических ресурсов;
д) копии платежных документов, подтверждающих оплату выполненных работ (услуг);
е) копии документов, подтверждающих достижение значений результатов предоставления субсидии.
Копии документов должны быть заверены подписью руководителя управляющей компании и печатью (при ее наличии) и загружены в систему «Электронный бюджет».
Отчеты считаются представленными, если они направлены и подписаны руководителем управляющей компании в системе «Электронный бюджет» в сроки, указанные в пункте 4.1 настоящего Порядка.
4.3. Министерство осуществляет проверку и принятие отчетов и документов, указанных в пунктах 4.1, 4.2 настоящего Порядка, в срок, не превышающий 30 рабочих дней со дня их представления. В указанный срок в случае выявления министерством в отчете и (или) прилагаемых к нему документах недостоверных сведений или непредставления (представления не в полном объеме) документов, указанных в пункте 4.2 настоящего Порядка, отчет не принимается и возвращается управляющей компании на доработку. Откорректированный отчет должен быть представлен управляющей компанией в срок не позднее пяти рабочих дней со дня его возврата на доработку.
4.4. В случае непредставления отчета в сроки, установленные пунктами 4.1, 4.3 настоящего Порядка, управляющая компания обязана осуществить возврат субсидий в краевой бюджет в объеме полученной субсидии в порядке, предусмотренном пунктом 5.3 настоящего Порядка.
V. Осуществление контроля (мониторинга) соблюдения условий и порядка предоставления субсидии и ответственность за их несоблюдение
5.1. Министерство осуществляет проверку соблюдения управляющими компаниями и лицами, получающими средства на основании договоров, заключенных с управляющей компанией (за исключением государственных (муниципальных) унитарных предприятий, хозяйственных товариществ и обществ с участием публично-правовых образований в их уставных (складочных) капиталах, коммерческих организаций с участием таких товариществ и обществ в их уставных (складочных) капиталах), порядка и условий предоставления субсидии, в том числе в части достижения результатов предоставления субсидии, органы государственного финансового контроля осуществляют проверку в соответствии со статьями 268.1 и 269.2 Бюджетного кодекса Российской Федерации.
5.2. Министерство в системе «Электронный бюджет» осуществляет мониторинг достижения значений результатов предоставления субсидии исходя из достижения значений результатов предоставления субсидии, определенных соглашением, и событий, отражающих факт завершения соответствующего мероприятия по получению результата предоставления субсидии (контрольная точка), в порядке и по формам, установленным Министерством финансов Российской Федерации.
5.3. В случае нарушения управляющей компанией условий и порядка, установленных при предоставлении субсидии (далее - нарушение), выявленных в том числе по результатам проверок, указанных в пункте 5.1 настоящего Порядка, управляющая компания обязана осуществить возврат субсидии в краевой бюджет в размере, определенном в соответствии с пунктом 5.4 настоящего Порядка, на основании требования о возврате субсидии (далее - требование).
Требование направляется управляющей компании министерством в течение пяти рабочих дней со дня установления нарушения.
Возврат субсидий производится управляющей компанией в течение пяти рабочих дней со дня получения требования от министерства по реквизитам и коду бюджетной классификации Российской Федерации, указанным в требовании.
В случае невозврата средств субсидии в объеме, указанном в требовании, в срок, предусмотренный абзацем третьим пункта 5.3 настоящего Порядка, средства субсидии взыскиваются в судебном порядке.
5.4. Субсидия подлежит возврату в краевой бюджет:
5.4.1. В случае отклонения от графика выполнения мероприятия (Проекта) по созданию и (или) развитию парка более чем на 40 процентов по состоянию на 1 октября года предоставления субсидии или по состоянию на 1 июля года, следующего за годом предоставления субсидии, - в полном объеме;
5.4.2. В случаях недостижения управляющей компанией результатов предоставления субсидии, предусмотренных в соглашении, - в размере, рассчитанном по следующей формуле:
Vвозврата = Vсубсидии x k х р / n,
где:
V субсидии - размер субсидии, предоставленной управляющей компании;
p - количество результатов предоставления субсидии, по которым индекс, отражающий уровень недостижения i-го результата предоставления субсидии, имеет положительное значение;
k - коэффициент возврата размера субсидии, который рассчитывается по следующей формуле:
,
где:
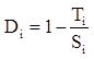
Di - индекс, отражающий уровень недостижения i-го результата предоставления субсидии (используются только положительные значения индекса), который рассчитывается по следующей формуле:
,
где:
Ti - фактически достигнутое значение результата предоставления субсидии на отчетную дату;
Si - значение результата предоставления субсидии, установленное соглашением.
Сумма возврата субсидии не может превышать размер субсидии, предоставленной управляющей компании;
5.4.3. В случае если управляющей компанией нарушен срок ввода парка в эксплуатацию, установленный графиком выполнения мероприятия (Проекта) по созданию и (или) развитию парка, предусмотренного соглашением, - объем средств в размере, соответствующем 10 процентам объема субсидии, в срок до 1 мая каждого года, следующего за годом, в котором допущены нарушения указанного срока;
5.4.4. В случае нарушения управляющей компанией иных условий и порядка, предусмотренных настоящим Порядком и соглашением, - в объеме выявленных нарушений.
5.5. Ответственность за полноту и достоверность представляемых в соответствии с настоящим Порядком в министерство документов, отчетов и сведений несет управляющая компания.
5.6. Министерство обеспечивает соблюдение управляющими компаниями условий и порядка, установленных при предоставлении субсидий.
5.9. Остатки средств субсидии, не использованные в течение срока реализации Проекта, подлежат возврату в краевой бюджет в течение первых 15 рабочих дней года, следующего за годом ввода парка в эксплуатацию, на лицевой счет министерства, указанный в соглашении. В случае если остатки субсидии не возвращены в доход краевого бюджета, они подлежат взысканию в судебном порядке.
