Постановление Правительства Приморского края от 15.09.2025 N 716-пп "Об утверждении Порядка предоставления субсидий из краевого бюджета в 2025 году промышленным предприятиям на возмещение части затрат, связанных с выполнением научно-исследовательских, опытно-конструкторских работ, в том числе с испытанием опытных образцов"
ПРАВИТЕЛЬСТВО ПРИМОРСКОГО КРАЯ
ПОСТАНОВЛЕНИЕ
15.09.2025 г. Владивосток N 716-пп
Об утверждении Порядка предоставления субсидий из краевого бюджета в 2025 году промышленным предприятиям на возмещение части затрат, связанных с выполнением научно-исследовательских, опытно-конструкторских работ, в том числе с испытанием опытных образцов
В соответствии с Бюджетным кодексом Российской Федерации, постановлением Правительства Российской Федерации от 25 октября 2023 года N 1782 «Об утверждении общих требований к нормативным правовым актам, муниципальным правовым актам, регулирующим предоставление из бюджетов субъектов Российской Федерации, местных бюджетов субсидий, в том числе грантов в форме субсидий, юридическим лицам, индивидуальным предпринимателям, а также физическим лицам - производителям товаров, работ, услуг и проведение отборов получателей указанных субсидий, в том числе грантов в форме субсидий», на основании Устава Приморского края, Закона Приморского края от 2 февраля 2016 года N 761-КЗ «О промышленной политике в Приморском крае» Правительство Приморского края
постановляет:
1. Утвердить прилагаемый Порядок предоставления субсидий из краевого бюджета в 2025 году промышленным предприятиям на возмещение части затрат, связанных с выполнением научно-исследовательских, опытно-конструкторских работ, в том числе с испытанием опытных образцов.
2. Департаменту информационной политики Приморского края обеспечить официальное опубликование настоящего постановления.
Первый вице-губернатор Приморского края –
Председатель Правительства Приморского края В.Г. Щербина
УТВЕРЖДЕН
постановлением
Правительства Приморского края
от 15.09.2025 N 716-пп
ПОРЯДОК
предоставления субсидий из краевого бюджета в 2025 году промышленным предприятиям на возмещение части затрат, связанных с выполнением научно-исследовательских, опытно-конструкторских работ, в том числе с испытанием опытных образцов
I. ОБЩИЕ ПОЛОЖЕНИЯ
1.1. Настоящий Порядок устанавливает цель, условия, порядок предоставления субсидий из краевого бюджета в 2025 году промышленным предприятиям на возмещение части затрат, связанных с выполнением научно-исследовательских, опытно-конструкторских работ (далее - НИОКР), в том числе с испытанием опытных образцов (далее соответственно - субсидия, организация), критерии отбора организаций, имеющих право на получение субсидий, а также порядок возврата субсидий в краевой бюджет в случае нарушения условий, установленных при их предоставлении.
Министерство промышленности и торговли Приморского края (далее - министерство) является главным распорядителем средств краевого бюджета, осуществляющим предоставление субсидии в соответствии со сводной бюджетной росписью, кассовым планом исполнения краевого бюджета в пределах лимитов бюджетных обязательств, доведенных министерству на цели, указанные в пункте 1.2 настоящего Порядка, в рамках государственной программы Приморского края «Экономическое развитие и инновационная экономика Приморского края», утвержденной постановлением Администрации Приморского края от 19 декабря 2019 года N 860-па «Об утверждении государственной программы Приморского края «Экономическое развитие и инновационная экономика Приморского края».
Сведения о субсидии размещаются на едином портале бюджетной системы Российской Федерации в информационно-телекоммуникационной сети Интернет (далее - единый портал) (в разделе единого портала) в порядке, установленном Министерством финансов Российской Федерации.
1.2. Субсидии предоставляются в целях стимулирования инновационной деятельности, направленной на выпуск новых видов промышленной продукции, оптимизации, модернизации и технического перевооружения производственных мощностей, расширения кооперационных связей, а также выпуск конкурентоспособной продукции гражданского назначения.
Субсидии предоставляются в целях возмещения части фактически понесенных и документально подтвержденных затрат, связанных с выполнением НИОКР, в том числе с испытанием опытных образцов.
Субсидии предоставляются в размере не более 50% (для участников промышленных кластеров, включенных в реестр промышленных кластеров и специализированных организаций промышленных кластеров, резидентов индустриальных (промышленных) парков, включенных в реестр индустриальных (промышленных) парков и управляющих компаний индустриальных (промышленных) парков, а также резидентов технопарков в сфере высоких технологий, включенных в реестр технопарков в сфере высоких технологий и управляющих компаний технопарков в сфере высоких технологий, – не более 60 %) общего размера следующих фактически понесенных затрат (всех или отдельных видов), связанных с выполнением НИОКР, в том числе с испытанием опытных образцов:
а) оплата труда работников, непосредственно занятых выполнением НИОКР, а также затраты на отчисления страховых взносов по обязательному медицинскому страхованию, обязательному социальному страхованию на случай временной нетрудоспособности и в связи с материнством, страховых взносов по обязательному пенсионному страхованию (не более 30% предоставляемой субсидии);
б) материальные расходы, непосредственно связанные с созданием опытных и промышленных образцов (моделей в случае, когда невозможно провести натурные испытания опытного образца), в том числе расходы на подготовку лабораторного, исследовательского комплекса, закупку исследовательского, испытательного, контрольно-измерительного и вспомогательного оборудования, закупку комплектующих изделий, сырья и материалов, изготовление макетов и стендов;
в) расходы, связанные с арендой необходимых для выполнения НИОКР зданий, сооружений, технологического оборудования и оснастки;
г) расходы на содержание и эксплуатацию научно-исследовательского оборудования, установок и сооружений, других объектов основных средств, непосредственно связанных с выполнением НИОКР;
д) оформление права на результаты интеллектуальной деятельности;
е) оплата услуг по проведению работ по сертификации и (или) выполнению сертификационных испытаний.
1.3. Субсидии предоставляются организациям, зарегистрированным в качестве юридических лиц и осуществляющим деятельность на территории Приморского края не менее одного года на дату подачи заявки на получение субсидии, отвечающим следующим критериям отбора:
а) осуществление деятельности в сфере видов экономической деятельности, соответствующих классам:
20 - «Производство химических веществ и химических продуктов»;
21 - «Производство лекарственных средств и материалов, применяемых в медицинских целях и ветеринарии»;
22 - «Производство резиновых и пластмассовых изделий»;
24 - «Производство металлургическое»;
25 - «Производство готовых металлических изделий, кроме машин и оборудования»;
26 - «Производство компьютеров, электронных и оптических изделий»;
27 - «Производство электрического оборудования»;
28 - «Производство машин и оборудования, не включенных в другие группировки»;
29 - «Производство автотранспортных средств, прицепов и полуприцепов»;
30 - «Производство прочих транспортных средств и оборудования»;
31 - «Производство мебели»;
33 - «Ремонт и монтаж машин и оборудования», соответствующих разделу «С - Обрабатывающие производства» Общероссийского классификатора видов экономической деятельности ОК 029-2014 (КДЕС Ред. 2), утвержденного приказом Федерального агентства по техническому регулированию и метрологии от 31 января 2014 года N 14-ст;
б) фактическое осуществление затрат в предыдущем и (или) текущем финансовых годах, связанных с выполнением НИОКР, в том числе с испытанием опытных образцов, собственными силами организации;
в) изготовление продукции по результатам выполненных НИОКР;
г) НИОКР не выполнялись силами сторонних организаций.
II. УСЛОВИЯ ПРЕДОСТАВЛЕНИЯ СУБСИДИИ И ПОРЯДОК ПРОВЕДЕНИЯ ОТБОРА ОРГАНИЗАЦИЙ В ЦЕЛЯХ ПРЕДОСТАВЛЕНИЯ СУБСИДИЙ
2.1. В целях предоставления субсидии министерство проводит отбор организаций в государственной интегрированной информационной системе управления общественными финансами «Электронный бюджет» (далее - ГИИС «Электронный бюджет») путем запроса предложений (далее - отбор), который осуществляется министерством на основании заявок на получение субсидии (далее - заявка), направленных организациями для участия в отборе, исходя из соответствия организации критериям отбора, условиям, требованиям, установленным настоящим Порядком, и очередности поступления заявок на участие в отборе. Проведение отбора производится в ГИИС «Электронный бюджет» с использованием федеральной государственной информационной системы «Единая система идентификации и аутентификации в инфраструктуре, обеспечивающей информационно-технологическое взаимодействие информационных систем, используемых для предоставления государственных и муниципальных услуг в электронной форме».
В целях проведения отбора министерство формирует комиссию. Состав комиссии и положение о комиссии утверждаются приказом министерства.
Объявление о проведении отбора (далее - объявление) размещается на едином портале, а также на странице министерства на официальном сайте Правительства Приморского края и органов исполнительной власти Приморского края в информационно-телекоммуникационной сети Интернет (https://primorsky.ru/authorities/executive-agencies/departments/industry-and-transport/) (далее - официальный сайт) не позднее трех рабочих дней до даты начала приема заявок на участие в отборе.
Объявление должно содержать следующую информацию:
сроки проведения отбора;
даты начала подачи и окончания приема заявок, при этом дата окончания приема заявок не может быть ранее 10-го календарного дня, следующего за днем размещения объявления;
наименование, место нахождения, почтовый адрес, адрес электронной почты министерства;
контактные данные (фамилия, имя, отчество (последнее - при наличии), номер телефона, адрес электронной почты) ответственного за прием заявок сотрудника министерства;
цели предоставления субсидии в соответствии с пунктом 1.2 настоящего Порядка, а также результаты предоставления субсидии в соответствии с пунктом 3.5 настоящего Порядка;
доменное имя, и (или) сетевой адрес, и (или) указатель страниц сайта в информационно-телекоммуникационной сети Интернет, на которых обеспечивается проведение отбора;
критерии отбора и требования к организациям в соответствии с пунктами 1.3, 2.3 настоящего Порядка, перечень документов, представляемых организациями для подтверждения их соответствия указанным критериям и требованиям;
порядок подачи заявок и требования, предъявляемые к форме и содержанию заявки;
порядок возврата заявок на доработку;
порядок отзыва заявок, порядок их возврата, определяющий в том числе основания для возврата заявок, порядок внесения изменений в заявки;
правила рассмотрения заявок и документов организаций в соответствии с пунктами 2.7-2.11 настоящего Порядка;
порядок отклонения заявок, а также информацию об основаниях их отклонения;
объем распределяемой субсидии в рамках отбора, порядок расчета размера субсидии в соответствии с пунктом 3.1 настоящего Порядка, правила распределения субсидии по результатам отбора;
порядок предоставления организациям разъяснений положений объявления, даты начала и окончания срока такого предоставления;
срок, в течение которого организации - победители отбора должны подписать соглашение о предоставлении субсидии;
условия признания организации уклонившейся от заключения соглашения о предоставлении субсидии;
срок размещения результатов отбора на едином портале и на официальном сайте, который не может быть позднее 14-го календарного дня, следующего за днем определения организаций получателями субсидий.
Изменения в объявление вносятся с соблюдением требований, предусмотренных подпунктом «а1» пункта 25 общих требований к нормативным правовым актам, муниципальным правовым актам, регулирующим предоставление из бюджетов субъектов Российской Федерации, местных бюджетов субсидий, в том числе грантов в форме субсидий, юридическим лицам, индивидуальным предпринимателям, а также физическим лицам - производителям товаров, работ, услуг и проведение отборов получателей указанных субсидий, в том числе грантов в форме субсидий, утвержденных постановлением Правительства Российской Федерации от 25 октября 2023 года N 1782 «Об утверждении общих требований к нормативным правовым актам, муниципальным правовым актам, регулирующим предоставление из бюджетов субъектов Российской Федерации, местных бюджетов субсидий, в том числе грантов в форме субсидий, юридическим лицам, индивидуальным предпринимателям, а также физическим лицам - производителям товаров, работ, услуг и проведение отборов получателей указанных субсидий, в том числе грантов в форме субсидий» (далее - Общие требования).
2.2. Субсидии предоставляются при условии:
соответствия организации критериям и требованиям, установленным пунктами 1.3, 2.3 настоящего Порядка;
согласия организации на осуществление в отношении нее проверки министерством соблюдения порядка и условий предоставления субсидии, в том числе в части достижения результатов предоставления субсидии, а также проверки органами государственного финансового контроля в соответствии со статьями 268.1 и 269.2 Бюджетного кодекса Российской Федерации;
осуществления до конца года предоставления субсидии одного из следующих мероприятий:
обучение не менее одного сотрудника организации из числа руководящего состава (руководитель, заместитель руководителя, главный бухгалтер) инструментам повышения производительности труда, проведение которого организовано государственным автономным учреждением дополнительного профессионального образования «Дальневосточная академия профессионального развития» на безвозмездной основе, либо участие в мероприятиях, направленных на информирование об инструментах повышения производительности труда, организуемых автономной некоммерческой организацией «Центр поддержки предпринимательства Приморского края» на безвозмездной основе;
обучение не менее одного сотрудника организации из числа руководящего состава (руководитель, заместитель руководителя, главный бухгалтер) инструментам повышения производительности труда в рамках участия организации в федеральном проекте «Производительность труда» национального проекта «Эффективная и конкурентная экономика»;
уровень среднемесячной начисленной заработной платы работников организации за месяц, предшествующий месяцу обращения за субсидией, не ниже среднемесячной начисленной заработной платы по соответствующей отрасли в Приморском крае за год, предшествующий году обращения за субсидией, согласно информации территориального органа Федеральной службы государственной статистики по Приморскому краю;
направления организацией сведений о проведении научно-исследовательских, опытно-конструкторских и технологических работ гражданского назначения в Министерство науки и высшего образования Российской Федерации в порядке, предусмотренном постановлением Правительства Российской Федерации от 12 апреля 2013 года N 327 «О единой государственной информационной системе учета научно-исследовательских, опытно-конструкторских и технологических работ гражданского назначения»;
затраты, связанные с выполнением НИОКР, в том числе с испытанием опытных образцов, понесены организацией не ранее 1 января 2024 года (за исключением затрат 2024 года, ранее обеспеченных субсидией).
2.3. Требования, которым должны соответствовать организации по состоянию на дату не ранее чем за 30 календарных дней до дня подачи заявки и документов, предусмотренных пунктом 2.4 настоящего Порядка, а также на даты рассмотрения заявки и заключения соглашения о предоставлении субсидии:
организация не является иностранным юридическим лицом, в том числе местом регистрации которого является государство или территория, включенные в утвержденный Министерством финансов Российской Федерации перечень государств и территорий, используемых для промежуточного (офшорного) владения активами в Российской Федерации (далее - офшорные компании), а также российским юридическим лицом, в уставном (складочном) капитале которого доля прямого или косвенного (через третьих лиц) участия офшорных компаний в совокупности превышает 25 процентов (если иное не предусмотрено законодательством Российской Федерации). При расчете доли участия офшорных компаний в капитале российских юридических лиц не учитывается прямое и (или) косвенное участие офшорных компаний в капитале публичных акционерных обществ (в том числе со статусом международной компании), акции которых обращаются на организованных торгах в Российской Федерации, а также косвенное участие таких офшорных компаний в капитале других российских юридических лиц, реализованное через участие в капитале указанных публичных акционерных обществ;
организация не находится в перечне организаций и физических лиц, в отношении которых имеются сведения об их причастности к экстремистской деятельности или терроризму;
организация не находится в составляемых в рамках реализации полномочий, предусмотренных главой VII Устава ООН, Советом Безопасности ООН или органами, специально созданными решениями Совета Безопасности ООН, перечнях организаций и физических лиц, связанных с террористическими организациями и террористами или с распространением оружия массового уничтожения;
организация не получает средства из краевого бюджета на основании иных нормативных правовых актов Приморского края на цели, указанные в пункте 1.2 настоящего Порядка;
организация не является иностранным агентом в соответствии с Федеральным законом от 14 июля 2022 года N 255-ФЗ «О контроле за деятельностью лиц, находящихся под иностранным влиянием»;
у организации на едином налоговом счете отсутствует или не превышает размер, определенный пунктом 3 статьи 47 Налогового кодекса Российской Федерации, задолженность по уплате налогов, сборов и страховых взносов в бюджеты бюджетной системы Российской Федерации;
у организации отсутствует просроченная задолженность по возврату в краевой бюджет иных субсидий, бюджетных инвестиций, а также иная просроченная (неурегулированная) задолженность по денежным обязательствам перед Приморским краем;
организация не находится в процессе реорганизации (за исключением реорганизации в форме присоединения к организации другого юридического лица), ликвидации, в отношении нее не введена процедура банкротства, деятельность организации не приостановлена в порядке, предусмотренном законодательством Российской Федерации;
в реестре дисквалифицированных лиц отсутствуют сведения о дисквалифицированных руководителе, членах коллегиального исполнительного органа, лице, исполняющем функции единоличного исполнительного органа, или главном бухгалтере (при наличии) организации.
Проверка организации, подавшей заявку, на соответствие требованиям, установленным настоящим пунктом, на дату подачи заявки и рассмотрения заявки осуществляется автоматически в ГИИС «Электронный бюджет» на основании данных государственных информационных систем, в том числе с использованием единой системы межведомственного электронного взаимодействия (при наличии технической возможности).
Подтверждение соответствия организации требованиям, установленным настоящим пунктом, на дату подачи заявки в случае отсутствия технической возможности осуществления автоматической проверки в ГИИС «Электронный бюджет» производится организацией путем проставления в электронном виде отметок о соответствии указанным требованиям посредством заполнения соответствующих экранных форм веб-интерфейса ГИИС «Электронный бюджет».
Проверка организации, подавшей заявку, на соответствие требованиям, установленным настоящим пунктом, на дату заключения соглашения, предусмотренного пунктом 3.3 настоящего Порядка, осуществляется автоматически в ГИИС «Электронный бюджет» на основании данных государственных информационных систем.
2.4. Организация для получения субсидии в срок, указанный в объявлении, представляет в министерство заявку, формируемую организацией в электронной форме посредством заполнения соответствующих экранных форм веб-интерфейса ГИИС «Электронный бюджет», в которой указывается в том числе следующая информация:
предлагаемые организацией значения результатов предоставления субсидии и размер запрашиваемой субсидии;
согласие с условиями предоставления субсидий, предусмотренными настоящим Порядком;
добровольное информированное согласие министерству на публикацию (размещение) на едином портале бюджетной системы Российской Федерации, официальном сайте информации об организации и ее руководителе, о подаваемой организацией заявке, иной информации об организации и ее руководителе, связанной с соответствующим отбором, а также согласие на обработку персональных данных в объеме, необходимом для участия в отборе;
добровольное информированное согласие министерству на осуществление проверки министерством соблюдения порядка и условий предоставления субсидии, в том числе в части достижения результатов предоставления субсидии, а также проверки органами государственного финансового контроля в соответствии со статьями 268.1 и 269.2 Бюджетного кодекса Российской Федерации.
К заявке прилагаются электронные копии следующих документов (документов на бумажном носителе, преобразованных в электронную форму путем сканирования):
а) выписка из Единого государственного реестра юридических лиц;
б) справка налогового органа, подтверждающая соответствие организации требованию, предусмотренному абзацем седьмым пункта 2.3 настоящего Порядка;
в) выписка из реестра дисквалифицированных лиц либо справка об отсутствии запрашиваемой информации, выданные в соответствии с приказом Федеральной налоговой службы от 10 декабря 2019 года N ММВ-7-14/627@ «Об утверждении Административного регламента по предоставлению Федеральной налоговой службой государственной услуги по предоставлению заинтересованным лицам сведений, содержащихся в реестре дисквалифицированных лиц»;
г) гарантийное обязательство, подписанное руководителем и главным бухгалтером организации (при наличии), заверенное печатью организации (при наличии), подтверждающее соответствие организации критериям, установленным пунктом 1.3 настоящего Порядка, условиям, установленным пунктом 2.2 настоящего Порядка, требованиям, установленным пунктом 2.3 настоящего Порядка, а также соблюдение иных требований, установленных настоящим Порядком;
д) учредительные документы организации;
е) документы, подтверждающие проведение НИОКР (приказ, распоряжение, протокол совещания и другие документы, подтверждающие проведение НИОКР);
ж) документы, содержащие требования к результатам НИОКР (техническое задание, техническое описание, гарантированные характеристики, тендерные требования и другие документы, содержащие требования к результатам НИОКР);
з) программа или календарный план (график) выполнения НИОКР;
и) акт (протокол) испытания опытного образца или модели в случае, если невозможно провести натурные испытания опытного образца;
к) документы, подтверждающие положительный результат испытания опытного образца или модели, в случае если невозможно провести натурные испытания опытного образца (заключение, экспертиза специализированных организаций, протокол приемки модельных испытаний и другие документы, подтверждающие положительный результат испытания опытного образца или модели);
л) патент на полезный образец или положительное решение на выдачу патента в случае принятия решения об оформлении права на результат интеллектуальной собственности;
м) документы, подтверждающие соответствие выпускаемой продукции требованиям технического регламента (сертификат соответствия или декларация о соответствии в случае, если продукция подлежит обязательной сертификации и декларированию);
н) документы о запуске опытной модели в производство (приказ, распоряжение, протокол совещания и другие документы о запуске опытной модели в производство);
о) отчет о выполнении НИОКР;
п) справка, подписанная руководителем организации (уполномоченным им лицом) и заверенная печатью организации (при наличии), содержащая сведения о производстве и реализации выпущенной продукции по итогам выполнения НИОКР с приложением подтверждающих документов (договор, товарная накладная и другие подтверждающие документы);
р) расчет размера субсидии на возмещение части затрат, связанных с выполнением НИОКР, в том числе с испытанием опытных образцов, подписанный руководителем и главным бухгалтером организации (при наличии), по форме согласно приложению N 1 к настоящему Порядку;
с) документы, подтверждающие фактически произведенные организацией затраты, на возмещение которых предоставляется субсидия (договоры, платежные ведомости, платежные поручения, выписки из расчетного счета, реестры платежных поручений или иные документы, подтверждающие оплату в соответствии с законодательством о бухгалтерском учете; акты сдачи-приемки выполненных работ, оказанных услуг; товарные накладные (универсальные передаточные документы) и другие подтверждающие документы), с реестром документов, подтверждающих расчет размера субсидии, по форме, установленной приложением N 2 к настоящему Порядку;
т) бухгалтерская (финансовая) отчетность с приложениями, отражающими учет затрат, связанных с выполнением НИОКР, в том числе с испытанием опытных образцов, за предыдущий и (или) текущий финансовые годы, заверенная подписью руководителя организации или уполномоченного им лица и печатью организации (при наличии);
у) технические условия для организаций, имеющих отношение к обрабатывающим производствам в части создания и (или) внедрения полимерных композиционных материалов (композитов) и изделий из них, в случае если продукция не подлежит обязательной сертификации;
ф) документы, подтверждающие статус участника промышленного кластера, резидента индустриального (промышленного) парка или технопарка в сфере высоких технологий, в случае наличия соответствующего статуса.
Организация вправе представить по собственной инициативе документы, предусмотренные подпунктами «а» - «в» настоящего пункта. В случае непредставления организацией документов, указанных в настоящем абзаце, министерство не позднее десятого рабочего дня со дня окончания приема заявок запрашивает соответствующую информацию в порядке межведомственного информационного взаимодействия.
Наличие в прилагаемых к заявке документах опечаток, подчисток, приписок, зачеркнутых слов и иных не оговоренных в них исправлений, а также повреждений, не позволяющих однозначно истолковывать их содержание, не допускается.
2.5. Заявка подписывается усиленной квалифицированной электронной подписью руководителя организации или уполномоченного им лица. Датой представления заявки считается день подписания организацией заявки с присвоением ей регистрационного номера в ГИИС «Электронный бюджет».
Прием заявок и прилагаемых к ним документов осуществляется министерством в течение срока, указанного в объявлении.
Заявка может быть отозвана до окончания срока приема заявок путем направления организацией соответствующего обращения в министерство посредством ГИИС «Электронный бюджет».
Организация до окончания срока приема заявок вправе внести изменения в заявку путем подачи новой заявки, сформированной в соответствии с настоящим Порядком. При этом ранее поданная заявка считается отозванной.
Отзыв заявки не препятствует повторному обращению организации для участия в отборе, но не позднее даты и времени окончания приема заявок, предусмотренных в объявлении.
2.6. Организации вправе обратиться в министерство за консультацией о разъяснении положений объявления по номеру телефона, указанному в объявлении, в период со дня размещения объявления до дня окончания приема заявок включительно. Министерством проводятся разъяснения положений объявления путем устных консультаций.
2.7. Для проведения отбора министерству и членам комиссии открывается доступ в ГИИС «Электронный бюджет» к заявкам для их рассмотрения.
Не позднее двух рабочих дней, следующих за днем окончания срока подачи заявок, указанного в объявлении, министерство обеспечивает автоматическое формирование протокола вскрытия заявок на едином портале и подписание его усиленной квалифицированной электронной подписью министра промышленности и торговли Приморского края (уполномоченного им лица) в ГИИС «Электронный бюджет», а также размещение указанного протокола на едином портале не позднее одного рабочего дня, следующего за днем его подписания.
Министерство в течение семи рабочих дней со дня окончания срока подачи заявок, указанного в объявлении, возвращает заявку на доработку с направлением уведомления о возврате заявки на доработку с указанием выявленных недостатков (далее - уведомление) посредством ГИИС «Электронный бюджет» в случае наличия в заявке и прилагаемых к ней документах технических ошибок. Организации, в отношении которых принято решение о направлении заявки на доработку, имеют право устранить недостатки, указанные в уведомлении, и представить заявку повторно посредством ГИИС «Электронный бюджет» в течение двух рабочих дней со дня доставки уведомления в личном кабинете ГИИС «Электронный бюджет».
2.8. В течение 30 рабочих дней со дня окончания срока приема заявок и прилагаемых к ним документов, указанного в объявлении, комиссия:
проверяет заявки на предмет их соответствия требованиям пунктов 2.4, 2.5 настоящего Порядка, прилагаемые к заявке документы на предмет соответствия перечню документов, предусмотренному пунктом 2.4 настоящего Порядка, соответствие организации критериям отбора, условиям и требованиям, установленным пунктами 1.3, 2.2, 2.3 настоящего Порядка;
осуществляет проверку правильности расчета субсидий;
ранжирует поступившие заявки исходя из очередности их поступления и принимает решение (в форме протокола подведения итогов отбора):
о предоставлении субсидии (при отсутствии оснований, предусмотренных пунктом 2.9 настоящего Порядка);
об отклонении заявки и отказе в предоставлении субсидии (при наличии оснований, предусмотренных пунктом 2.9 настоящего Порядка).
На основании результатов рассмотрения заявок комиссией министерство обеспечивает автоматическое формирование протокола подведения итогов отбора на едином портале и подписание его усиленной квалифицированной электронной подписью председателя комиссии и членов комиссии в ГИИС «Электронный бюджет», а также размещение указанного протокола на едином портале не позднее одного рабочего дня, следующего за днем его подписания.
2.9. Решение об отклонении заявки и отказе в предоставлении субсидии организациям принимается при наличии следующих оснований:
а) несоответствие организации критериям отбора, условиям и требованиям, установленным пунктами 1.3, 2.2, 2.3 настоящего Порядка;
б) непредставление и (или) представление не в полном объеме документов, указанных в пункте 2.4 настоящего Порядка, за исключением документов, предусмотренных подпунктами «а» - «в» пункта 2.4 настоящего Порядка;
в) представление предусмотренных пунктом 2.4 настоящего Порядка документов, оформленных с нарушением требований законодательства Российской Федерации;
г) несоответствие документов (заявки и (или) прилагаемых к ней документов) требованиям, предусмотренным пунктами 2.4, 2.5 настоящего Порядка;
д) установление факта недостоверности представленной информации;
е) представление заявки и приложенных к ней документов по истечении срока, указанного в объявлении (за исключением возврата заявки на доработку);
ж) неустранение нарушений, послуживших основанием для направления заявки на доработку, в срок, указанный в абзаце третьем пункта 2.7 настоящего Порядка.
2.10. Протокол подведения итогов отбора содержит следующие сведения:
дату, время и место проведения рассмотрения заявок;
информацию об организациях, заявки которых были рассмотрены;
информацию об организациях, заявки которых были отклонены, с указанием причин их отклонения (при наличии оснований, предусмотренных пунктом 2.9 настоящего Порядка);
наименование получателя (получателей) субсидии, с которым(и) заключается соглашение о предоставлении субсидии, и размер предоставляемой ему (им) субсидии (при отсутствии оснований, предусмотренных пунктом 2.9 настоящего Порядка).
Внесение изменений в протокол подведения итогов отбора осуществляется с учетом положений подпункта «в» пункта 25 Общих требований.
Протокол подведения итогов отбора размещается министерством на официальном сайте не позднее 14-го календарного дня, следующего за днем его подписания.
2.11. Не позднее трех рабочих дней со дня принятия решения об отклонении заявки и отказе в предоставлении субсидии (в форме протокола подведения итогов отбора) министерство направляет организации уведомление о принятом решении посредством ГИИС «Электронный бюджет» (с указанием причин отклонения заявки и отказа в предоставлении субсидии).
Не позднее пяти рабочих дней со дня принятия решения о предоставлении субсидии (в форме протокола подведения итогов отбора) министерство размещает в ГИИС «Электронный бюджет» соглашение о предоставлении субсидии, указанное в пункте 3.2 настоящего Порядка, для его подписания получателем субсидии.
2.12. Министерство в случае внесения изменений в закон Приморского края о краевом бюджете на соответствующий финансовый год и плановый период в части исключения предоставления субсидии в течение трех рабочих дней со дня вступления указанного закона в силу отменяет проведение отбора.
Отбор признается несостоявшимся в следующих случаях:
по окончании срока подачи заявок не подано ни одной заявки;
по результатам рассмотрения заявок отклонены все заявки.
III. ПОРЯДОК ПРЕДОСТАВЛЕНИЯ СУБСИДИЙ
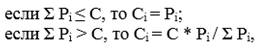
3.1. Расчет размера субсидий производится министерством по следующим формулам:

где:
C - общий размер субсидии, предусмотренный законом Приморского края о краевом бюджете на текущий финансовый год и плановый период (нераспределенный остаток субсидии, в случае проведения повторного отбора);
Ci - размер субсидии i-той организации;
Pi - 50% (60% - для организаций, являющихся участниками промышленных кластеров, включенных в реестр промышленных кластеров и специализированных организаций промышленных кластеров, резидентами индустриальных (промышленных) парков, включенных в реестр индустриальных (промышленных) парков и управляющих компаний индустриальных (промышленных) парков, а также резидентами технопарков в сфере высоких технологий, включенных в реестр технопарков в сфере высоких технологий и управляющих компаний технопарков в сфере высоких технологий) фактических затрат i-той организации, подтвержденных документами, представленными в соответствии с подпунктом «с» пункта 2.4 настоящего Порядка.
В случае если бюджетные ассигнования, утвержденные законом Приморского края о краевом бюджете на выплату субсидий, распределены не в полном объеме, проводится повторный отбор организаций в целях предоставления субсидий.
Размер субсидий организациям не может превышать общий объем субсидии, утвержденный законом Приморского края о краевом бюджете на текущий финансовый год и плановый период (нераспределенный остаток субсидии, в случае проведения повторного отбора).
В случае если размер потребности в субсидии, указанный в заявке, менее размера, определенного в соответствии с настоящим пунктом, субсидии предоставляются в заявленном размере.
В целях возмещения части затрат организации, осуществленных в иностранной валюте, размер субсидии определяется в российских рублях по курсу рубля по отношению к соответствующей иностранной валюте, установленному Центральным банком Российской Федерации на дату осуществления оплаты затрат, в соответствии с платежными документами.
3.2. Предоставление субсидии организации осуществляется на основании соглашения о предоставлении субсидии, заключенного между министерством и организацией в соответствии с типовой формой, установленной министерством финансов Приморского края, в ГИИС «Электронный бюджет» (далее - соглашение) с соблюдением требований о защите государственной тайны.
Соглашение предусматривает в том числе:
цель предоставления субсидии и условия ее предоставления;
размер субсидии, сроки перечисления субсидии;
условия о согласовании новых условий соглашения (о расторжении соглашения при недостижении согласия по новым условиям) в случае уменьшения министерству ранее доведенных лимитов бюджетных обязательств, приводящего к невозможности предоставления субсидии в размере, определенном в соглашении;
значения результатов предоставления субсидии;
согласие организации на осуществление в отношении нее проверки министерством порядка и условий предоставления субсидии, в том числе в части достижения результатов предоставления субсидии, а также проверки органами государственного финансового контроля в соответствии со статьями 268.1 и 269.2 Бюджетного кодекса Российской Федерации;
обязательство организации по представлению отчетности о достижении результатов предоставления субсидии, указанной в пункте 4.1 настоящего Порядка;
порядок и сроки возврата субсидии в краевой бюджет, в том числе в случае нарушения условий ее предоставления, недостижения значений результатов предоставления субсидии;
обязанность организации возвратить субсидию в случае недостижения значений результатов предоставления субсидии;
ответственность сторон за нарушение условий предоставления субсидии.
При необходимости внесения в соглашение изменений или его расторжения между министерством и организацией заключается дополнительное соглашение. Дополнительное соглашение к соглашению, в том числе дополнительное соглашение о расторжении соглашения, заключается в соответствии с типовой формой, утвержденной министерством финансов Приморского края, в ГИИС «Электронный бюджет».
Одновременно с заключением соглашения и в целях проведения мониторинга достижения результатов предоставления субсидий министерство формирует и утверждает план мероприятий по достижению результатов предоставления субсидии (далее - План мероприятий), в котором отражаются контрольные точки по каждому результату предоставления субсидии, плановые значения результатов предоставления субсидии с указанием контрольных точек и плановых сроков их достижения (по форме, установленной соглашением). План мероприятий формируется на текущий финансовый год с указанием не менее одной контрольной точки в квартал.
Внесение изменений в утвержденный План мероприятий осуществляется путем утверждения Плана мероприятий в новой редакции одновременно с заключением дополнительного соглашения к соглашению.
При реорганизации организации, являющейся получателем субсидии, в форме слияния, присоединения или преобразования в соглашение вносятся изменения путем заключения дополнительного соглашения к соглашению в части перемены лица в обязательстве с указанием в соглашении юридического лица, являющегося правопреемником.
3.3. Соглашение заключается в ГИИС «Электронный бюджет» в течение семи рабочих дней со дня принятия решения о предоставлении субсидии (в форме протокола подведения итогов отбора).
Руководитель организации или уполномоченное им лицо не позднее двух рабочих дней со дня размещения министерством соглашения в ГИИС «Электронный бюджет» в соответствии с абзацем вторым пункта 2.11 настоящего Порядка подписывает его посредством усиленной квалифицированной электронной подписи.
Организация, не обеспечившая подписание соглашения в установленный абзацем вторым настоящего пункта срок, считается уклонившейся от его заключения и утрачивает право на получение субсидии (за исключением невозможности подписания по техническим причинам).
В случае если в период с даты формирования протокола подведения итогов отбора до даты заключения соглашения в ГИИС «Электронный бюджет» будет установлено несоответствие организации требованиям пункта 2.3 настоящего Порядка, министерство направляет организации уведомление о невозможности заключения соглашения не позднее трех рабочих дней со дня выявления указанного несоответствия (с указанием причин невозможности заключения соглашения).
3.4. Перечисление субсидий осуществляется единовременно с лицевого счета министерства, открытого в Управлении Федерального казначейства по Приморскому краю, на расчетные или корреспондентские счета организаций, открытые в учреждениях Центрального банка Российской Федерации или кредитных организациях, в течение трех рабочих дней со дня поступления средств на лицевой счет министерства, но не позднее 10 рабочего дня, следующего за днем принятия решения о предоставлении субсидии (в форме протокола подведения итогов отбора).
3.5. Результатами предоставления субсидии являются:
количество разработанных организацией опытных образцов;
сумма реализованной организацией по состоянию на 31 декабря 2025 года продукции, созданной с использованием результатов работ, на осуществление которых предоставлялась субсидия, превышающая сумму полученной на осуществление указанных работ субсидии не менее чем в два раза;
получение по итогам прикладных научных исследований и (или) экспериментальных разработок результатов интеллектуальной деятельности, способных к правовой охране в качестве объекта патентных прав.
Количественные значения результатов предоставления субсидии устанавливаются в соглашении о предоставлении субсидии.
IV. ТРЕБОВАНИЯ К ОТЧЕТНОСТИ
4.1. Организация ежеквартально в срок до 10 числа месяца, следующего за отчетным кварталом, представляет в министерство посредством ГИИС «Электронный бюджет» отчет о достижении значений результатов предоставления субсидии по форме, установленной соглашением (далее – отчет).
Отчет за IV квартал является годовым и представляется в министерство посредством ГИИС «Электронный бюджет» до 25 января года, следующего за годом предоставления субсидии, с приложением копий документов, подтверждающих прохождение обучения инструментам повышения производительности труда, заверенных подписью руководителя и печатью организации (при наличии).
В случае отсутствия технической возможности представления документов, прилагаемых к отчету за IV квартал, в электронном виде посредством ГИИС «Электронный бюджет» указанные документы с сопроводительным письмом направляются в адрес министерства посредством электронной почты.
В случае непредставления отчета в сроки, установленные настоящим пунктом, организация обязана осуществить возврат субсидии в краевой бюджет в полном объеме в порядке, предусмотренном пунктом 5.5 настоящего Порядка.
4.2. Министерство:
осуществляет проверку отчета в течение пяти рабочих дней со дня его поступления на предмет соответствия формы отчета установленным требованиям;
в случае выявления по результатам проверки нарушений министерство в течение двух рабочих дней со дня выявления нарушения составляет и направляет организации акт проверки, предусматривающий устранение выявленных нарушений в течение пяти рабочих дней со дня получения акта проверки;
в течение 10 рабочих дней со дня поступления отчета осуществляет проверку на предмет достижения результата предоставления субсидии.
В случае неустранения организацией нарушений в срок, установленный абзацем третьим настоящего пункта, министерство в течение пяти рабочих дней направляет организации требование о возврате субсидии в краевой бюджет в полном объеме в порядке, предусмотренном пунктом 5.5 настоящего Порядка.
Оценка министерством достижения значений результатов предоставления субсидии осуществляется на основании отчета о реализации Плана мероприятий, составляемого по форме, установленной соглашением, в котором ежеквартально по состоянию на 1 число месяца, следующего за отчетным периодом, а также не позднее десятого рабочего дня после достижения конечного значения результата предоставления субсидии отражаются значения результатов предоставления субсидии и контрольные точки. Отчет формируется в ГИИС «Электронный бюджет» с указанием значений результатов предоставления субсидии, достигнутых на отчетную дату, и контрольных точек, достигнутых в отчетном периоде, в указанный в соглашении срок для представления отчетности.
V. ОСУЩЕСТВЛЕНИЕ КОНТРОЛЯ (МОНИТОРИНГА) СОБЛЮДЕНИЯ УСЛОВИЙ И ПОРЯДКА ПРЕДОСТАВЛЕНИЯ СУБСИДИЙ И ОТВЕТСТВЕННОСТЬ ЗА ИХ НАРУШЕНИЕ
5.1. Ответственность за достоверность представленных в соответствии с настоящим Порядком документов, отчетов и сведений несет организация.
5.2. Министерство осуществляет проверку соблюдения получателем субсидии порядка и условий предоставления субсидии, в том числе в части достижения результатов предоставления субсидии, органы государственного финансового контроля осуществляют проверку соблюдения получателем субсидии порядка и условий предоставления субсидии в соответствии со статьями 268.1 и 269.2 Бюджетного кодекса Российской Федерации.
Министерство обеспечивает соблюдение организацией условий, целей и порядка, установленных при предоставлении субсидии.
Министерство осуществляет мониторинг достижения результатов предоставления субсидии в ГИИС «Электронный бюджет» исходя из достижения значений результатов предоставления субсидии, определенных соглашением, и событий, отражающих факт завершения соответствующего мероприятия по получению результата предоставления субсидии (контрольная точка), в порядке и по формам, установленным Министерством финансов Российской Федерации.
5.3. В случае если организацией по состоянию на 31 декабря года, в котором заключено соглашение, не достигнуты значения результатов предоставления субсидии, установленные соглашением, организация обязана осуществить возврат в доход краевого бюджета полученной субсидии в порядке, предусмотренном пунктом 5.5 настоящего Порядка, в соответствии со следующим расчетом размера возврата субсидии:
Vвозврата = Vсубсидии x k x m / n, где:
Vвозврата - объем средств, подлежащих возврату в случае недостижения значения результата предоставления субсидии;
Vсубсидии - размер субсидии, предоставленной получателю субсидии;
m - количество результатов предоставления субсидии, по которым индекс, отражающий уровень недостижения i-го результата предоставления субсидии, имеет положительное значение;
n - общее количество результатов предоставления субсидии;
k - коэффициент возврата субсидии, который рассчитывается по формуле:
k = SUM Di / m,
где:
Di - индекс, отражающий уровень недостижения i-го результата предоставления субсидии, определяется по следующей формуле:
Di = 1 - Ti / Si, где:
Ti - фактически достигнутое значение i-го результата предоставления
субсидии на отчетную дату;
Si - плановое значение i-го результата предоставления субсидии, установленное соглашением.
При расчете коэффициента возврата субсидии используются только положительные значения индекса, отражающего уровень недостижения i-го результата предоставления субсидии.
5.4. В случае невыполнения организацией условий, предусмотренных абзацами пятым - седьмым пункта 2.2 настоящего Порядка, организация обязана осуществить возврат в доход краевого бюджета полученной субсидии в порядке, предусмотренном пунктом 5.5 настоящего Порядка, в соответствии со следующим расчетом размера возврата субсидии:
V возврата = C x g, где:
C - размер субсидии, предоставленный получателю субсидии;
g - коэффициент возврата субсидии, равный 0,1%.
В случае если по итогам расчета значение Vвозврата < 5000,00 руб., то возврат производится в размере 5000,00 руб.
5.5. В случае нарушения организацией условий и порядка, установленных при предоставлении субсидии (далее - нарушение), выявленного в том числе по результатам проверок, указанных в пункте 5.2 настоящего Порядка, организация обязана осуществить возврат субсидии в краевой бюджет на основании требования о возврате субсидии (далее – требование).
Требование о возврате субсидии в краевой бюджет направляется организации министерством в течение пяти рабочих дней со дня установления нарушения, невыполнения требования, предусмотренного абзацем третьим пункта 4.2 настоящего Порядка.
Возврат субсидии производится организацией в течение пяти рабочих дней со дня получения требования по реквизитам и коду бюджетной классификации Российской Федерации, указанным в требовании.
При отказе организации от возврата субсидии в краевой бюджет в добровольном порядке сумма субсидии взыскивается министерством в судебном порядке в соответствии с законодательством Российской Федерации.
Приложение N 1
к Порядку
предоставления субсидий из краевого бюджета
в 2025 году промышленным предприятиям
на возмещение части затрат, связанных с выполнением
научно-исследовательских, опытно-конструкторских
работ, в том числе с испытанием опытных образцов
Форма
РАСЧЕТ
размера субсидии на возмещение части затрат, связанных с выполнением
научно-исследовательских,
опытно-конструкторских работ,
в том числе с испытанием опытных образцов
__________________________________________________________________ (наименование организации) __________________________________________________________________ ИНН/ОГРН |
N | Наименование вида затрат
| Реквизиты подтверждающих документов | Размер фактических затрат, руб.
| Процент возмещения, % | Сумма к возмещению, руб.
|
1 | 2 | 3 | 4 | 5 | 6 |
1. | Оплата труда работников, непосредственно занятых выполнением научно-исследовательских, опытно-конструкторских работ (далее - НИОКР) |
|
|
|
|
2. | Страховые взносы (обязательное медицинское страхование, обязательное социальное страхование на случай временной нетрудоспособности и в связи с материнством, обязательное пенсионное страхование) |
|
|
|
|
3. | Материальные расходы, непосредственно связанные с созданием опытных и промышленных образцов (моделей в случае, когда невозможно провести натурные испытания опытного образца) |
|
|
|
|
4. | Аренда зданий, сооружений, технологического оборудования и оснастки |
|
|
|
|
5. | Содержание и эксплуатация научно-исследовательского оборудования, установок и сооружений, других объектов основных средств, непосредственно связанных с выполнением НИОКР |
|
|
|
|
6. | Оформление прав на результаты интеллектуальной деятельности |
|
|
|
|
7. | Услуги по проведению работ по сертификации и (или) выполнению сертификационных испытаний |
|
|
|
|
| Итого | X |
| X |
|
Руководитель организации |
| |||
(наименование должности) |
| (подпись) |
| (фамилия, имя, отчество (последнее - при наличии) |
М.П. (при наличии печати) | "___" ___________ 20__ г. | |||
Главный бухгалтер (при наличии) |
| |||
|
| (подпись) |
| (фамилия, имя, отчество (последнее - наличии) |
Приложение N 2
к Порядку
предоставления субсидий из краевого бюджета в 2025 году
промышленным предприятиям на возмещение части
затрат, связанных с выполнением
научно-исследовательских,
опытно-конструкторских работ,
в том числе с испытанием опытных
образцов
Форма
|
| В министерство промышленности и торговли Приморского края ул. 1-я Морская, д. 2, г. Владивосток, 690090
| ||||||||||
| РЕЕСТР документов, подтверждающих расчет размера субсидии на возмещение части затрат, связанных с выполнением научно-исследовательских, опытно-конструкторских работ, в том числе с испытанием опытных образцов | |||||||||||
| ______________________________________________________________________ (наименование организации) ______________________________________________________________________ (ИНН/ОГРН)
| |||||||||||
N п/п | Наименование вида затрат (компенсируемые статьи расходов) | Подтверждающие платежные документы (платежные поручения с отметкой банка об исполнении, расходно-кассовые ордера и другие) <*> | Сумма платежного документа в иностранной валюте (при наличии)
| Курс иностранной валюты на дату платежа (при наличии)
| Сумма в соответствии с платежным документом, рублей
| Иные подтверждающие документы <**>
| Сумма в соответствии с подтверждающим документом, рублей |
| ||||
наименование документа | N, дата | наименование документа | N, дата |
| ||||||||
1 | 2 | 3 | 4 | 5 | 6 | 7 | 8 | 9 | 10 |
| ||
1. | Оплата труда работников, непосредственно занятых выполнением научно-исследовательских, опытно-конструкторских работ (далее - НИОКР) |
|
|
|
|
|
|
|
|
| ||
1.1. |
|
|
|
|
|
|
|
|
|
| ||
1.2. |
|
|
|
|
|
|
|
|
|
| ||
2. | Страховые взносы (обязательное медицинское страхование, обязательное социальное страхование на случай временной нетрудоспособности и в связи с материнством, обязательное пенсионное страхование) |
|
|
|
|
|
|
|
|
| ||
2.1. |
|
|
|
|
|
|
|
|
|
| ||
2.2. |
|
|
|
|
|
|
|
|
|
| ||
3. | Материальные расходы, непосредственно связанные с созданием опытных и промышленных образцов (моделей в случае, когда невозможно провести натурные испытания опытного образца) |
|
|
|
|
|
|
|
|
| ||
3.1. |
|
|
|
|
|
|
|
|
|
| ||
3.2. |
|
|
|
|
|
|
|
|
|
| ||
4. | Аренда зданий, сооружений, технологического оборудования и оснастки |
|
|
|
|
|
|
|
|
| ||
4.1. |
|
|
|
|
|
|
|
|
|
| ||
4.2. |
|
|
|
|
|
|
|
|
|
| ||
5. | Содержание и эксплуатация научно-исследовательского оборудования, установок и сооружений, других объектов основных средств, непосредственно связанных с выполнением НИОКР |
|
|
|
|
|
|
|
|
| ||
5.1. |
|
|
|
|
|
|
|
|
|
| ||
5.2. |
|
|
|
|
|
|
|
|
|
| ||
6. | Оформление прав на результаты интеллектуальной деятельности |
|
|
|
|
|
|
|
|
| ||
6.1. |
|
|
|
|
|
|
|
|
|
| ||
6.2. |
|
|
|
|
|
|
|
|
|
| ||
7. | Услуги по проведению работ по сертификации и (или) выполнению сертификационных испытаний |
|
|
|
|
|
|
|
|
| ||
7.1. |
|
|
|
|
|
|
|
|
|
| ||
7.2. |
|
|
|
|
|
|
|
|
|
| ||
| Итого | Х | Х |
| Х |
| Х | Х |
|
| ||
<*> - Документы, подтверждающие факт оплаты понесенных затрат.
<**> - Документы, подтверждающие факт возникновения и принятия к учету затрат.
Руководитель организации: |
| |
_________________________________ (наименование должности) | ___________ (подпись) | ____________________ (фамилия, имя, отчество (последнее - при наличии) |
М.П. (при наличии печати) | "___" ___________ 20__ г. | |
|
| |
Главный бухгалтер (при наличии)
| __________ (подпись) | ____________________ (фамилия, имя, отчество (последнее - при наличии) |
